2010
CA08103002Z-EN
www.eaton.comSwitched-mode power supply units, power supply units
Power supply units GW4
Notes
GW4-030-BA3
GW4-050-BA3
GW4-080-BA3
GW4-100-BA3
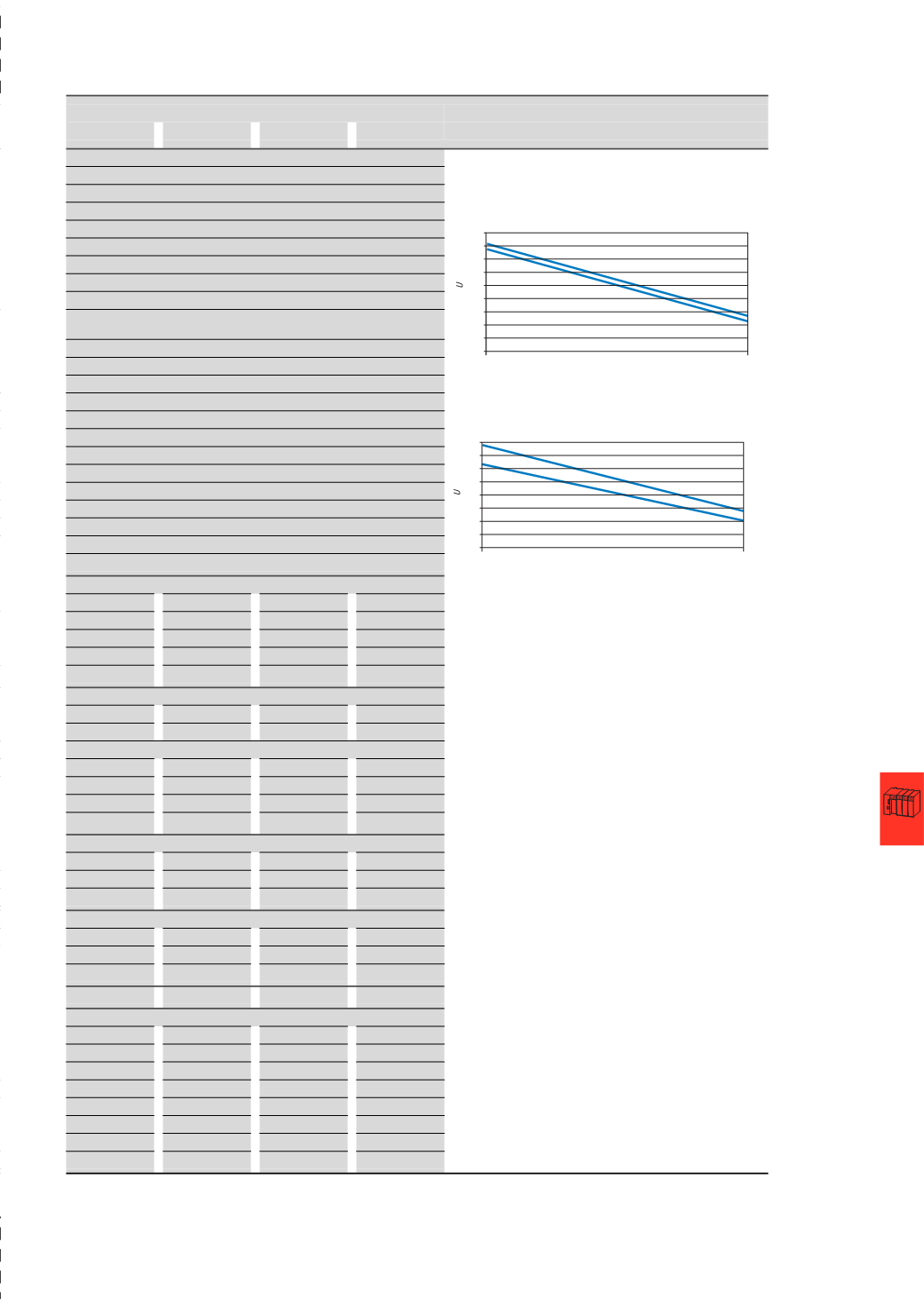
Current-voltage characteristic
At 230 V or 3 x 400 V AC (primary side) and a load current of I = 0 A up
to the rated operational current 1x Iq
1
Yes, VDE 0551, IEC/EN 60742, SELV
GD4... with transformer
50/60
Class B (EN 55011, 22)
6
kV contact (Level 3), 8 kV air (Level 3), IEC/EN 61000-4-2
10
V/m, modulated, IEC/EN 61000 4-2
2
kV (Level 3) IEC/EN 61000-4-4
2
kV (Inst. Class 3), IEC/EN 61000-4-5
4.9
kV, IEC EN 60947
-25 - 55
GW4... with transformer
-25 - 85
2,
EN 50178
0.075
mm (10 - 57 Hz), 10 cycles, IEC 60068-2-6
15,
IEC 60068-2-27 (3 shocks)
Max. 2000 m a.m.s.l., observe derating above this
1)
IP20
Screw-on
Any
230
230
230
230
230
230
230
230
0.45
0.8
1.2
1.4
7.6
9
12.8
10.2
15.5
29.7
32.7
35
24
24
24
24
See current/voltage characteristic
–
–
–
–
≦ 5
≦ 5
≦ 5
≦ 5
3
5
8
10
0 - 3
0 - 5
0 - 8
0 - 10
0.5 - 4
0.5 - 4
0.5 - 4
0.5 - 4
0.5 - 2.5
0.5 - 2.5
0.5 - 2.5
0.5 - 2.5
Screw terminals Screw terminals Screw terminals Screw terminals
85
85
106
121
90
98
100
105
122
135
151
169
2
2.5
3.65
4.45
230
230
230
230
0.45
0.8
1.2
1.4
PKZM0-0,63
PKZM0-1
PKZM0-1,6
PKZM0-1,6
0.45
0.8
1.2
1.4
FAZ-S1/1
FAZ-S1/1
FAZ-S2/1
FAZ-S2/1
●
–
–
–
0
28
27
26
25
24
23
22
21
20
1
29
e
0
28
27
26
25
24
23
22
21
20
1
e
14/133




