4
Why choose central power supply?
www.emergi-lite.co.ukIntroduction
Central Power Supply System
Batteries/charger at central location
Advantages
l
Improved light output
l
Centralised maintenance, minimum disruption
l
Battery replacement 8 – 10 years
l
System design life 20+ years
Disadvantages
l
Fire protected cable may be required (subject to
local regulations)
A Central Power Supply System has a design life of
20 years or more, and would typically require battery
replacement in 8 – 10 years (depending on battery
type). Maintenance requirements are centralised,
minimising costs and disruption to the occupier.
Furthermore, when battery replacement is required,
it is only needed at the single central location and
can be accomplished in a single visit with minimum
disruption to the occupier.
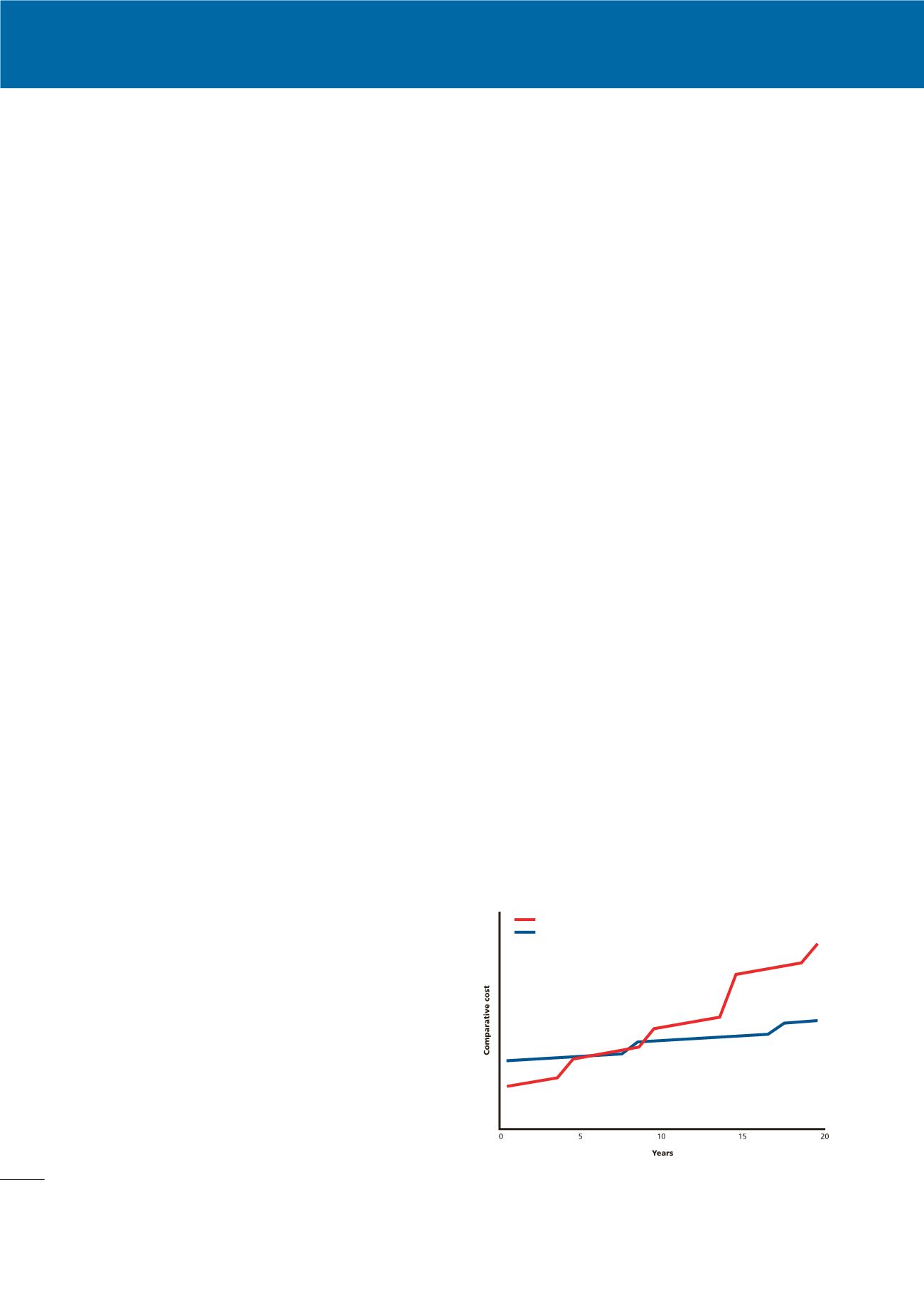
Taking a typical large installation it can be seen that
the lower initial purchase and installation cost of a
self-contained system is soon countered by the cost
of maintenance requirements and frequent battery
replacement, when compared to a Central Power
Supply System.
Self-contained System
Batteries/charger contained in individual luminaires
Advantages
l
Simple installation
l
No special cabling
Disadvantages
l
Limited light output
l
Multi-point maintenance
l
Battery replacement 3 – 5 years
l
System design life 15 years maximum
In the first 3 years of life, few battery faults would be
expected, provided a test and maintenance schedule
(manual walk test at least) was in place.
A self-contained system is economic for smaller
installations with a limited total number of luminaires.
A typical self-contained emergency power pack has
an operational design life of 10 – 15 years, and will
require a replacement battery every 3 – 5 years.
The installation is straightforward and, by definition,
each luminaire is installed and maintained
independently of all others on the site.
After this period the instance of battery failures
may increase, resulting in the possibility of further
unplanned maintenance visits to replace battery
sets. After 5 years the incidence of such piecemeal
activity may cause the client to consider a full battery
replacement programme. However, the fact that some
batteries may have been replaced already in recent
times raises a dilemma. Either, you can replace all
batteries ‘en masse’ ignoring the waste of potentially
good batteries and previous labour efforts, or you
could continue with the fragmented maintenance
approach (causing irregular future disruption to the
building occupier).
It can be considered that self-contained products
will require 2 or more complete sets of replacement
batteries during the first 10 years of operation.
In less than 15 years the likelihood would be that a
self-contained system would be ‘life-expired’ leading
to the need for a completely new set of luminaires.
It should be noted here, that a more rigorous and
beneficial planned maintenance schedule can be
achieved, albeit at a higher initial product cost,
utilising a suitable automatic or controlled test and
monitoring system, to check the luminaires and their
batteries (‘Centrel’ or IR2: available from Emergi-Lite).
Central Power Supply System
Self-contained System
Principle types of emergency lighting system are ‘self-contained’ or ‘centrally fed’
In a self-contained system, each emergency luminaire has an on-board battery and charger unit.
A Central Power Supply System operates on the principle that the luminaires are fed, via sub-distribution, from a
single supply source.
Comparative cost of purchasing and running Self-contained
and Central Power Supply Systems




